設計指針
暴風時、地震時、基礎地盤などの自然という不確定要素の高いものに対して工作物が効果的かつ安全であるか否かを検討する他、主柱及び各諸部材を建設地に合わせあらゆる角度から検討しベストプランを提供します。

防球ネットや照明柱などの工作物を作る場合、最初に検討するのがこの項目です。各地区での平均風速及び設置場所の地表面粗度区分・高さから求まる風圧力が、工作物に与える影響を検討し、十分な強度を確保します。メインの支柱から部材に至るまであらゆる方向から検討しています。
防球ネット柱や照明柱などの工作物の検討は地上部分と基礎部分の検討を行います。まず地上部分の検討は、主に風圧力と地震力があり建築基準法に基づいて行います。それぞれの負荷が工作物に与える影響を検討し、十分な強度を確保します。
上部に対する検討
風圧力に対する検討
建築基準法施行令第87条、及び平成12年建設省告示第1454号
速度圧 q=0.6・E・Vo2(N/㎡)
E=Er2・Gf
風圧力 P=Cf・q(N)
Vo:平均風速
[その地方における過去の台風の記録に基づく風害の程度その他の風の性状に応じて30m/s〜46m/sまでの範囲内において国土交通大臣が定める風速]
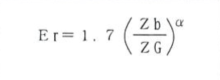
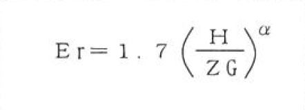
Er:平均風速の高さ方向分布
H:工作物の高さ(m)
| HがZb以下の場合 | ![]() |
| HがZbを超える場合 | ![]() |
地表面粗度区分
| 地表面粗度区分 | Zb(m) | ZG(m) | α | |
|---|---|---|---|---|
| Ⅰ | 極めて平坦で障害物がないものとして特定行政庁が規則で定める区域 | 5 | 250 | 0.10 |
| Ⅱ | 地表面粗度区分Ⅰ若しくはⅣの区域以外の区域のうち、海岸線若しくは湖岸線(対岸までの距 離が1,500m以上のものに限る。以下同じ。) までの距離が500m以内の地域(建築物の高さが13m以下である場合又は当該海岸線若しくは湖岸線からの距離が200mを超え、かつ、建築物の高さが31m以下である場合を除く。)又は当該地域以外の地区のうち、極めて平坦で障害物が散在しているものとして特定行政庁が 規則で定める区域 | 5 | 350 | 0.15 |
| Ⅲ | 地表面粗度区分Ⅰ、Ⅱ又はⅣ以外の区域 | 5 | 450 | 0.20 |
| Ⅳ | 都市化が極めて著しいものとして特定行政庁が規則で定める区域 | 10 | 550 | 0.27 |
Gf:ガスト影響係数
| 地表面粗度区分 | H≦10m | 10m<H<40m | 40m≦H |
|---|---|---|---|
| Ⅰ | 2.0 | 直線補間 | 1.8 |
| Ⅱ | 2.2 | 2.0 | |
| Ⅲ | 2.5 | 2.1 | |
| Ⅳ | 3.1 | 2.3 |
Cf:風力係数
Z:当該部分の地盤面からの高さ(m)
支柱 Cf=0.9・kz(H/支柱の直径≧8)
ネット Cf=1.4・kz
kzの値
| H≦Zb | 1.0 | |
|---|---|---|
| H>Zb | Z≦Zb | ![]() |
| Z>Zb | ![]() |
|
地震力に対する検討
建築基準法施行令第88条、及び平成12年建設省告示第1449号
せん断力 Q=Csi・W(N)
Csi:工作物の高さ方向の力の分布を表す係数
W:工作物の地上部分の固定荷重と積載荷重の和(N)
転倒に対する検討
上部で求めた作用応力を基に転倒に対する検討を行います。基礎の種類により検討方法は異なります。
根かせ・根巻きコンクリート基礎
日本電気協会発行の『配電規程』(JEAC 7001)に基づき施工位置の土質係数を選別し転倒検討を行い、安全率2.0以上を確保します。
地上高15(m)以下の工作物に多く適用されています。
| 土質の種類 | 土質係数 (N/m4) | |
|---|---|---|
| 普通土質 | 〔A〕固まっている土又は砂、多数の砂利、石塊まじりの土などで硬い土の部類に属するもの。 | 3.9×107 |
| 〔B〕固まっている土又は砂、多数の砂利、石塊まじりの土などで軟らかい土の部類に属するもの。 | 2.9×107 | |
| 軟弱土質 | 〔C〕流砂(土がまじらないもの。) | 2.0×107 |
| 〔D〕水分の多い粘土、腐植土、盛土など軟弱な土 (深田を除く。) |
0.8×107 |

鋼管基礎
日本建築学会発行の『建築基礎構造設計指針』B.B.Bromsの設計法に基づき転倒検討を行います。
Bromsの設計法は「長い杭」と「短い杭」にわけそれぞれの破壊形式に基づき、杭体の応力・変形、及び必要根入れ長さを求める方法です。その特性として下記に示します。
- 杭体または地盤の破壊の可能性をもれなく考慮している。
- 杭体の強度によって設計が決まる長い杭の場合でも、地表面付近の地盤が降伏するという条件が取り入れられている。
- 地盤反力が土の定数で明確に与えられる。
鋼管基礎はフーチング基礎と異なり省スペースでの設置が可能なので敷地の有効活用ができます。その為防球ネット支柱基礎に広く採用されています。


直接基礎
工作物の上部構造重量を直接地盤に伝える基礎形式で良質地盤に用います。

杭基礎
工作物の上部構造重量を地盤に伝える際に基礎底面の支持力が無い軟弱地盤の場合、基礎底面下に支持層まで杭を打って支持します。

鉛直荷重に対する支持力検討
平成13年国土交通省告示1113号に基づいて検討を行います。
工作物
建築基準法第88条第1項に基づき、高さが15mを超える鉄筋コンクリート造りの柱、鉄柱は工作物の確認申請が必要となります。








